Naša tovarna je znani proizvajalec in dobavitelj Betadex Sulfobutylether Sodium SBECD 182410-00-0 na Kitajskem. Na voljo so brezplačni vzorci, naši izdelki pa so na zalogi.
Ime izdelka: Betadex sulfobutil eter natrij
Št. CAS: 182410-00-0
Kategorija: Farmacevtska pomožna snov
Funkcija: sredstvo za raztapljanje/kompleksiranje/izboljševalec biološke uporabnosti
Topnost: Dobro topen v vodi
Uporaba: formulacije za injiciranje; Slabo topni API-ji; Stabilizacija zdravila in prikrivanje vonja.
MOQ: 1 kg
OEM/ODM: na voljo
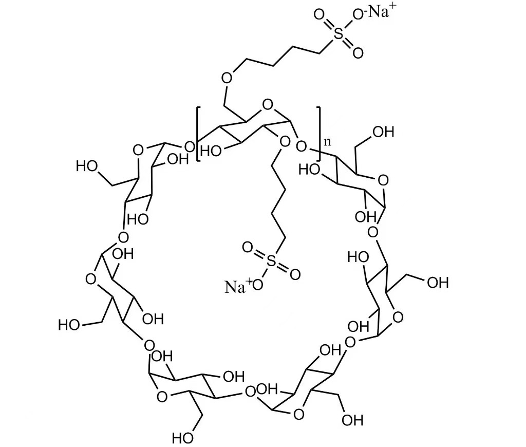
Kaj je natrijev sulfobutil eter Betadex?
Betadex sulfobutil eter natrij SBECD 182410-00-0 je v vodi topen derivat ciklodekstrina visoke čistosti, posebej zasnovan za farmacevtske izdelke za injiciranje in parenteralno uporabo. Ta pomožna snov poveča topnost, stabilnost in biološko uporabnost slabo topnih farmacevtskih učinkovin (API). Njegova edinstvena molekularna struktura tvori stabilne inkluzijske komplekse, ki zagotavljajo dosledno terapevtsko učinkovitost in zanesljivo dostavo zdravil.
SBECD, primeren za intravenske, intramuskularne in subkutane formulacije, preprečuje obarjanje, zmanjšuje kemično razgradnjo in ohranja stabilnost občutljivih API-jev. Idealen je tudi za oftalmološke raztopine, pršila za nos in druge tekoče formulacije, ki zahtevajo povečanje topnosti in stabilnost. Zaradi visoke topnosti v vodi, nizke toksičnosti in biokompatibilnosti je prednostna pomožna snov za raziskave, klinični razvoj in komercialne izdelke za injiciranje.

Betadex sulfobutil eter natrij SBECD 182410-00-0Specifikacija
|
Ime izdelka |
Betadex sulfobutil eter natrij |
|
Drugo ime |
Sulfobutil eter β-ciklodekstrin natrijeva sol |
|
Specifikacija |
USP/EP/JP/ChP |
|
Kategorija |
Farmacevtska pomožna snov |
|
Čas police |
36 meshs |
|
MOQ |
1 kg |
|
Čas dostave |
3-5 delovnih dni |
|
Paket |
500g/vrečko; 1 kg/vreča; 10 kg/boben iz vlaken |
Betadex sulfobutil eter natrij SBECD 182410-00-0 COA
Xi’an Deli Biochemical Industry Co., Ltd. je bilo ustanovljeno leta 1999 in je profesionalni proizvajalec, specializiran za farmacevtske pomožne snovi ciklodekstrin. Z več kot 25-letnim nenehnim razvojem smo zgradili trdno tehnično strokovno znanje in stabilen proizvodni sistem, osredotočen na visokokakovostne derivate ciklodekstrina.
Naši glavni izdelki vključujejo Hydroxypropyl Betadex (HPβCD) in Betadex Sulfobutylether Sodium (SBE-β-CD), ki se pogosto uporabljajo v farmacevtskih, veterinarskih in kemičnih formulacijah za solubilizacijo, stabilizacijo, maskiranje vonja in izboljšanje biološke uporabnosti slabo topnih učinkovin. Zagotavljamo dosledno čistost od serije do serije, zanesljivo delovanje in tehnično podporo za globalne farmacevtske, veterinarske in kozmetične trge. Na voljo so podrobni tehnični podatki, potrdila o analizi (COA) in vrednotenje vzorcev, ki olajšajo razvoj formulacije in optimizirajo učinkovitost izdelka.
• Več kot 25 let izkušenj v proizvodnji derivatov ciklodekstrina
• Stabilna proizvodna zmogljivost z velikostjo serije 2–3 metrične tone
• Letna proizvodnja do 200 metričnih ton, kar zagotavlja zanesljivo oskrbo
• Osredotočeni izdelki: Hydroxypropyl Betadex in Betadex Sulfobutylether Sodium
• Skladno z USP / EP / JP / ChP, primerno za globalne farmacevtske trge
• Dosledna kakovost s strogim nadzorom od serije do serije
• Prilagodljiva dobava, MOQ od 1 kg, podpira raziskave in razvoj do komercialne proizvodnje
Zavezani smo zagotavljanju stabilne kakovosti, zanesljive oskrbe in strokovne podpore našim globalnim partnerjem.
Raziskave in razvoj ter tehnična moč
Xi’an Deli Biochemical Industry Co., Ltd. ima lastno ekipo za raziskave in razvoj ter celoten proizvodni sistem, ki deluje po modelu samoproizvodnje in neposredne prodaje. Naša ekipa se osredotoča na inovacije pomožnih snovi in podporo formulaciji za izpolnjevanje različnih potreb strank.
Vse proizvodno osebje je deležno usposabljanja GMP, naš laboratorij pa je opremljen z naprednimi instrumenti, kot so HPLC, GC, HPCE, IR, polarimeter, pH meter, merilnik prevodnosti in analizator vlage, kar zagotavlja zanesljivo testiranje in dosledno kakovost izdelkov.
Oddelek za kakovost tesno sodeluje z materiali in proizvodnjo pri revidiranju dobaviteljev, obdržanju vzorcev in izvajanju študij stabilnosti ter vzdrževanju visokokakovostnih pomožnih snovi od raziskav in razvoja do sprostitve na trg.
Spodaj si lahko ogledate slike naše ekipe na mednarodnih razstavah in naše certifikacijske dokumente, ki poudarjajo našo tehnično moč in prepoznavnost industrije.
Pogosta vprašanja – Betadex sulfobutil eter natrij (SBECD)
V1: Za kaj se uporablja SBECD?
SBECD je farmacevtska pomožna snov na osnovi ciklodekstrina, ki se uporablja za izboljšanje topnosti in stabilnosti slabo topnih učinkovin, zlasti za formulacije za injiciranje.
V2: Katere standarde izpolnjuje vaš SBECD?
Naš SBECD je skladen s farmakopejskimi standardi USP/EP/JP/ChP.
V3: Ali ste proizvajalec ali trgovec?
Smo neposredni proizvajalec Betadex Sulfobutylether Sodium, ki zagotavlja stabilno kakovost, konkurenčne cene in zanesljivo dobavo.
V4: Ali lahko zagotovite vzorce in tehnične dokumente?
ja Vzorci, potrdilo o originalnosti, varnostni listi in tehnični podatki so na voljo na zahtevo.
V5: Kakšna je vaša proizvodna zmogljivost in dobavna zmogljivost?
Podpiramo dobavo v komercialnem obsegu z velikostjo serije približno 2,5 tone in letno proizvodno zmogljivostjo približno 200 ton, kar zagotavlja dolgoročno stabilnost dobave.
👉 Pišite nam zdaj za vzorce, specifikacije ali podporo pri cenah.
Sulfobutil eter beta ciklodekstrin v prahu, farmacevtski ekscipient za injiciranje
Betadex sulfobutil eter natrij ŠT. CAS 182410-00-0
Sulfobutil eter beta ciklodekstrin natrij
Betadex sulfobutil eter natrijev razred za injiciranje
Betadex sulfobutil eter natrij SBECD razred za injiciranje za formulacije zdravil
Betadex sulfobutil eter natrij CAS 182410-00-0