Novice iz industrije

Rešitve na osnovi ciklodekstrina za izboljšanje topnosti in stabilnosti

2025-12-23 - Pusti mi sporočilo

Rešitve na osnovi ciklodekstrina za izboljšanje topnosti in stabilnosti

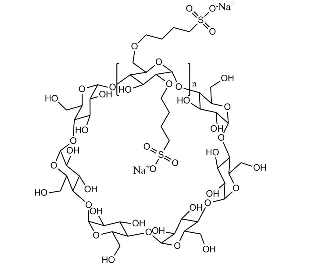
Tehnični pregled Hydroxypropyl Betadex in Betadex Sulfobutylether Sodium

Ciklodekstrini so splošno priznani zaradi svoje sposobnosti izboljšanja topnosti in stabilnosti slabo topnih ali kemično občutljivih spojin. Ciklodekstrini in njihovi derivati ​​so zaradi svoje edinstvene ciklične molekularne strukture postali pomembne funkcionalne pomožne snovi na farmacevtskih, kemijskih in sorodnih področjih formulacij. Kot odgovor na vse večje tehnične in regulativne zahteve je Xi’an Deli Biochemical dodatno izboljšal tehnično dokumentacijo in podporo za izdelke za svoje ključne derivate ciklodekstrina:hidroksipropil betadex (HPBCD) in betadex sulfobutil eter natrij (SBECD).


Strukturne značilnosti in funkcionalna učinkovitost ciklodekstrinov

Ciklodekstrini so ciklični oligosaharidi, sestavljeni iz enot glukoze, povezanih z α-1,4 glikozidnimi vezmi. Njihova molekularna arhitektura ima hidrofilno zunanjo površino in relativno hidrofobno notranjo votlino, kar omogoča tvorbo inkluzijskih kompleksov s širokim spektrom gostujočih molekul. Kemična modifikacija strukture ciklodekstrina lahko znatno poveča topnost v vodi in razširi vsestranskost uporabe.


Hidroksipropil Betadex (HPBCD)


Hidroksipropil betadeks je kemično modificiran β-ciklodekstrin, zasnovan za premagovanje omejene topnosti nativnih ciklodekstrinov. Zaradi njegove izboljšane topnosti v vodi in ugodne združljivosti je HPBCD primeren za aplikacije, ki zahtevajo učinkovito solubilizacijo, stabilizacijo in prilagodljivost formulacije v različnih sistemih.


Betadex sulfobutil eter natrij (SBECD)


Natrijev sulfobutil eter Betadex je anionski derivat ciklodekstrina, za katerega so značilni substituenti sulfobutil etra. Ta struktura izboljša elektrostatične interakcije s posebnimi spojinami, kar podpira izboljšano topnost, kompleksno stabilnost in robustnost formulacije v zahtevnejših aplikacijah.

Standardizirane informacije o izdelku in tehnična podpora

Za boljšo podporo razvoju formulacij, vrednotenju kakovosti in procesom nabave je Xi’an Deli Biochemical sistematično posodabljal informacije o izdelkih za HPBCD in SBECD, vključno z:


  • Jasno definirane in standardizirane specifikacije izdelkov in analitični parametri
  • Certifikati analize (COA) za posamezne serije za zagotavljanje sledljivosti in preverjanja kakovosti
  • Razširjena tehnična pogosta vprašanja o ravnanju, shranjevanju in tipičnih vidikih uporabe
  • Optimizirani povzetki izdelkov, zasnovani za lažji učinkovit tehnični pregled in izbiro


Te izboljšave so namenjene povečanju preglednosti, skrajšanju časovnih rokov ocenjevanja in podpiranju dosledne učinkovitosti izdelka v celotnem dobavnem ciklu.


Izkušnje v proizvodnji in zagotavljanje kakovosti

Podjetje Xi’an Deli Biochemical, ustanovljeno leta 1999, prinaša 26 let izkušenj pri proizvodnji derivatov ciklodekstrina. Podjetje se osredotoča na nadzorovano proizvodnjo hidroksipropil betadeksa in betadeks sulfobutil etra natrija, pri čemer poudarja doslednost procesa, zanesljivost od serije do serije in dolgoročno stabilnost dobave. Strukturirane prakse upravljanja kakovosti podpirajo tehnične, regulativne zahteve in zahteve strank.


Obseg uporabe in tehnično sodelovanje

HPBCD in SBECD sta na podlagi mehanizmov vključitve in stabilizacije ciklodekstrina uporabna na več tehničnih področjih, vključno s formulacijami, povezanimi s farmacevtskimi izdelki, posebnimi kemikalijami, veterinarskimi izdelki in drugimi sistemi, ki zahtevajo večjo topnost in stabilnost. Xi’an Deli Biochemical še naprej sodeluje s partnerji s komunikacijo, osredotočeno na aplikacije, in tehničnim sodelovanjem za podporo razvijajočim se potrebam po formulaciji.


O podjetjih biokemične industrije Xi’an Deli

Podjetje Xi’an Deli Biochemical Industry Companies, ustanovljeno leta 1999, je specializirani proizvajalec derivatov ciklodekstrina, ki globalnim strankam dobavlja hidroksipropil betadeks (HPBCD) in betadeks sulfobutil eter natrij (SBECD). Z dolgoletno osredotočenostjo na doslednost izdelkov, jasne specifikacije in praktično tehnično podporo podjetje ostaja zavezano zagotavljanju zanesljivih rešitev na osnovi ciklodekstrina.


Če želite, lahko tudi:


  • Nadalje optimizirajte to za Google SEO (brez zmanjšanja tehničnega tona)
  • Strnite ga v različico »tehnične posodobitve« na strani izdelka
  • Prilagodite ga strankam, ki so osredotočene na zakonodajo/kakovost


Samo povej mi, kje nameravaš to objaviti.


Pošlji povpraševanje


icon
X
Piškotke uporabljamo, da vam ponudimo boljšo izkušnjo brskanja, analiziramo promet na spletnem mestu in prilagodimo vsebino. Z uporabo te strani se strinjate z našo uporabo piškotkov. Politika zasebnosti
Zavrni Sprejmi