X
IMG
VIDEO

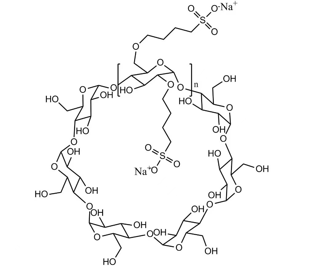
SBE-β-CD sulfobutileter beta ciklodekstrin natrijev farmacevtski ekscipient za injiciranje

Veleprodajni farmacevtski ekscipient za injiciranje SBE-β-CD sulfobutileter beta ciklodekstrin natrij, izdelan na Kitajskem pri DELI. SBE-β-CD (natrijev sulfobutileter beta ciklodekstrin) je visoko vodotopna farmacevtska pomožna snov za injiciranje, ki se uporablja za izboljšanje topnosti, stabilnosti in varnosti slabo topnih API-jev z reverzibilno tvorbo inkluzijskih kompleksov.

Pošlji povpraševanje

Opis izdelka


SBE-β-CD sulfobutileter beta ciklodekstrin natrijev farmacevtski ekscipient za injiciranje

SBE-β-CD (natrijev sulfobutileter beta ciklodekstrin) je zelo vodotopen, anionski derivat β-ciklodekstrina, zasnovan za farmacevtske aplikacije za injiciranje. Tvori stabilne, nekovalentne inkluzijske komplekse z aktivnimi farmacevtskimi sestavinami (API), kar bistveno izboljša topnost, stabilnost in varnost slabo topnih zdravil v vodi.

Zaradi odlične biokompatibilnosti, nizke hemolitične aktivnosti in nadzorovanega profila toksičnosti se SBE-β-CD pogosto uporablja v sistemih za parenteralno dajanje zdravil na več terapevtskih področjih.


Ključne prednosti


SBE-β-CD poveča topnost hidrofobnih API-jev v vodi, hkrati pa ohranja varnost formulacije. V primerjavi s tradicionalnimi sredstvi za raztapljanje kaže zmanjšano toksičnost za ledvice in manjše draženje na mestih injiciranja, zaradi česar je primeren za večkratno parenteralno dajanje.


Farmacevtske aplikacije


SBE-β-CD se uporablja predvsem v injekcijskih in sterilnih formulacijah, vključno z intravenskimi, intramuskularnimi in subkutanimi dozirnimi oblikami. Običajno se uporablja v protivirusnih, protiglivičnih, onkoloških in kardiovaskularnih zdravilih, kjer sta kritični visoka topnost in stabilnost formulacije.


Specifikacije izdelka


Kemijsko ime Natrijev sulfobutileter beta ciklodekstrin
št. CAS 182410-00-0
Videz Bel do umazano bel amorfen prah
Ocena Farmacevtska pomožna snov za injiciranje
Topnost Dobro topen v vodi
Test 95,0 % – 105,0 % (brezvodna osnova)
Povprečna stopnja zamenjave (DS) 6.2 – 6.9
Bakterijski endotoksini ≤ 10 EU/g
Standardi USP / EP
Rok trajanja 36 mesecev


Specifikacije pakiranja


Razpoložljive možnosti pakiranja vključujejo 500 g/vrečko, 1 kg/vrečko, 10 kg/vrečko in 10 kg/boben. Prilagojeno pakiranje je na voljo na zahtevo za komercialno dobavo.


Zagotavljanje kakovosti


Vse serije SBE-β-CD so izdelane v skladu s strogim sistemom vodenja kakovosti in so podvržene obsežnemu analiznemu testiranju. Ključni parametri kakovosti, kot so nečistoče, endotoksini, stopnja substitucije in konsistenca od serije do serije, so strogo nadzorovani.

Vsako pošiljko spremlja potrdilo o analizi (COA), ki zagotavlja popolno sledljivost in skladnost s predpisi.


Kvalifikacije in certifikati podjetja


Xi’an Deli Biochemical Industry Co., Ltd. je visokotehnološko podjetje, specializirano za raziskave, razvoj in proizvodnjo ciklodekstrinov in njihovih derivatov. Podjetje, ustanovljeno leta 1999, ima več kot 26 let izkušenj v industriji.

Podjetje upravlja namenske linije za proizvodnjo farmacevtskih pomožnih snovi z nadzorovanimi čistimi proizvodnimi območji. Njegov sistem vodenja kakovosti je prejel certifikat ISO 9001, glavni izdelki pa so registrirani ali vloženi pri ustreznih regulativnih organih, vključno z FDA.


Zmogljivost izdelave


Xi’an Deli Biochemical je vzpostavil obsežno komercialno proizvodno zmogljivost za SBE-β-CD, ki zagotavlja zanesljivo dolgoročno oskrbo za globalne farmacevtske stranke.

Letna proizvodna zmogljivost presega 200 metričnih ton, s tipično velikostjo serije približno 2,5 metričnih ton.


pogosta vprašanja

V1: Kakšna je glavna funkcija SBE-β-CD v formulacijah za injiciranje?
O: SBE-β-CD deluje predvsem kot solubilizator in stabilizator, saj izboljšuje topnost v vodi in varnost slabo topnih API-jev z reverzibilno tvorbo inkluzijskih kompleksov.


V2: Ali je SBE-β-CD primeren za večkratno intravensko dajanje?
O: Da. SBE-β-CD kaže nizko hemolitično aktivnost in zmanjšano toksičnost za ledvice v primerjavi s tradicionalnimi solubilizatorji, zaradi česar je primeren za večkratno parenteralno uporabo.


V3: Ali je vaš izdelek skladen s farmakopejskimi standardi?
O: Naš SBE-β-CD je v skladu z zahtevami USP in EP in je izdelan v skladu s certificiranim sistemom vodenja kakovosti.


V4: Ali je mogoče zagotoviti tehnično dokumentacijo?
O: Da. Potrdilo o originalnosti, specifikacije in tehnični podatki so na voljo na zahtevo.



Hot Tags: SBE-β-CD sulfobutileter beta ciklodekstrin natrijev farmacevtski ekscipient za injiciranje, proizvajalci, dobavitelji, Kitajska, tovarna, v razsutem stanju, brezplačen vzorec, izdelano na Kitajskem, na zalogi, trgovina na debelo, nakup

Povezana kategorija

Pošlji povpraševanje

Prosimo, oddajte svoje povpraševanje v spodnjem obrazcu. Odgovorili vam bomo v 24 urah.
icon
X
Piškotke uporabljamo, da vam ponudimo boljšo izkušnjo brskanja, analiziramo promet na spletnem mestu in prilagodimo vsebino. Z uporabo te strani se strinjate z našo uporabo piškotkov. Politika zasebnosti
Zavrni Sprejmi